Kevin Love's Diet: When Weight Loss Weakens You
· Mike Roberto · 19 min read
A plea to Kevin Love to eat some food and reverse the weight loss that was detrimental to his play as a big man
With Game 5 in the books, the 2016 NBA Finals have gone from "case closed" to "this thing is on". One of the biggest and most-discussed playoff plotlines has been the question, "What is wrong with Kevin Love?"
I'll tell you exactly what's wrong. It's that ridiculous weight loss diet of his. In this article, I'm going to show you how it's killing his game, and the two simple things he can do to fix it fast.
TL;DR
Someone needs to get to the Kevin Love camp and tell him to eat a big fat ribeye and to increase complex carbs. A few whole eggs wouldn't hurt either. His performance has suffered for two years and it's almost all solely due to his weight loss diet.
Love's low calorie intake has possibly downshifted his metabolism (and thus his energy levels), and to top it off, his lack of saturated fat is potentially lowering his testosterone levels.
Isolating the Incident
Most fans and pundits agree that Kevin Love was an extraordinary player in Minnesota. This is why the Cavaliers offered max contracts for him to come and play in Cleveland.
Unfortunately, he has consistently underperformed, failing to meet expectations.
Boxing out the problem

Kevin Love is not a jumper - never was, never will be. The honest truth is that elite-level jumping is an innate, natural ability. No amount of training or weight loss can make you jump like Lebron.
However, in Minnesota, Love could do the next best thing: box the big boys out. Unfortunately, that is no longer the case in Cleveland. Skinny Kevin Love gets pushed around. He may get magazine covers, but that doesn't mean he can cover Draymond Green.
So what you're left with is a comparably slow guy who still can't jump and now can't box out. Ultimately, that means he can't rebound.
While he's definitely not the first person in Cleveland sports history, let's not blame the cloudy gray skies or the curse of Rocky Colavito just yet.
So what changed? Consider the three things that had the biggest impact on his life:
He came to Cleveland to play with stars Lebron James and Kyrie Irving.
This is in contrast to his time in Minnesota, where he was the team's star.
In both cities, he had flaky head coaching situations: two with the Cavs, and three with the Timberwolves, so that part's a wash / no-change.
He had shoulder surgery
He lost somewhere between 30-40lbs
We can't change #1 (not right now, at least), nor can we change #2... and calling him overrated is a problem without a solution. We have a championship to win, so we have to do something, and that leaves us with issue #3.
So let's take a look at the diet, and then throw in a few simple solutions to get him ready in time for Games 6 and 7.
Disclaimer: This article was written with EXTREMELY small amounts of information on the diet, which has not been covered in depth for two years, and is only recently mentioned via his teammates' jokes.
There are several assumptions made here, and they may be monumentally wrong. Yet they are worth discussing, since nobody else can figure out what is "wrong" with his game. We know nothing about about Kevin Love's true health status.
This article is intended to generate discussion and serves as an entertaining time-kill while we wait for Game 6.
The Kevin Love Diet
Earlier in his career, Love admittedly had trouble finishing practices without being hunched over, gasping for air. He came out of UCLA weighing a massive 270lbs. He felt unhealthy, and knew he could be a "better-conditioned athlete". So he got serious about his diet, and decided to lose some weight.
He switched to a vegetable-based diet, full of lean proteins such as chicken breast. The best video you can watch to learn about it is embedded on a Yahoo Sports page.
The film was shot in Minnesota, so we're guessing it was for his last season there - 2013-2014. In the video, he mentions and shows the following foods:
Breakfast:

Compare to the picture of him on the T-Wolves. Losing weight was a good idea, but Love seems to have lost just a bit too much. Image courtesy Wikimedia Commons - Egg white / asparagus omelette
- Blueberries, Strawberries
- Oatmeal with soy milk
Mid-morning snack
Lunch:
- Turkey Salad Pita (whole wheat pita)
- Shrimp and black bean salad with mango vinaigrette
Nutrition shake and snack post-workout
Dinner:
- Grilled chicken
- Potatoes
- Green Beans
Frame after frame after frame, we're shown a salad-heavy meal from his food delivery service. The best way to describe this meal plan is to compare it to the "prep diet" that bodybuilders use - a clean way to get stage-ready for a physique contest.
Healthy... for the wrong sport.
There's only one little problem: Kevin Love is a professional athlete in a contact sport, not a bikini model preparing for a pageant.

His teammates even allude to this, with Richard Jefferson teasing, "he eats like a woman's fitness champion that needs to be in a bikini flexing."[4]
Ask any bodybuilder and they'll tell you, the day they look the best is most certainly not the day they can perform the best. Just because Kevin Love looks better naked on the cover of ESPN Magazine doesn't mean he can bang in the paint with the best big men in the NBA.
Where's the beef? (ie where's the protein and saturated fat?!)
Don't get me wrong - there are good longevity outcomes on high-vegetable diets, but from my perspective, two things are clearly missing from this diet: saturated fat and protein!! These are two critical macronutrients for any athlete, let alone a professional one!

On top of that, I'm not convinced that his complex carb intake is high enough either, as it's quite sugar-heavy instead. So basically, it seems like he needs more of nearly everything.
If his average day still includes this kind of eating, it's easily possible that Kevin Love is simply not getting enough of what his body needs. As it stands, this diet may have actually downshifted his metabolism, bringing his energy levels to a new (yet different) kind of low. And ultimately, his performance on the court is suffering for it.
Let's do some math and find some research to illustrate.
What Kevin Love Needs (at least 4,500 calories per day)
According to MyFitnessPal, a guy Kevin Love's size needs roughly 2,250 calories per day[1] - that's his basal metabolic rate without any added exercise. That number is for a "regular" 240lb man, so it's likely an undershoot, since he's an athlete and muscle tissue burns more calories due to requiring gluconeogenesis.[2,3] Additionally, I'd like to see him back up to at least 250.
With workout, warmups, and an intense game, Love's calorie requirements just to maintain his current weight (and have a normal energy exchange) would be around double that - 4,500 calories per day. If anything, this is a serious undershoot, but we're playing it conservatively here.
Of those 4,500 gameday calories, we can hypothetically split those calories into the three macronutrients:
Protein: 300g
Yes, this is a lot of protein.
We originally started with a 250g estimate, the "standard" recommendation of 1g per pound of goal bodyweight each day, but it simply wasn't enough because the absurd amount of carbs and fat needed to make up for the gap.
300g protein makes up 1,200 calories, yet is still only 27% of his calories from diet. Still a lot of work to do.
Fats: 185g
Quite a bit - 1665 calories worth, and this covers about 37% of Kevin's necessary calories. Adding more fats is the easiest way to boost calories, since they're so dense, but at a certain point, it becomes negligible for performance.
This is where we'll run into what we believe to be the biggest problem with the Kevin Love Diet -- saturated fat -- and is discussed in greater detail later on. Hint: it has to do with testosterone levels.
Carbs: 410g
This yields 1650 calories, and is the remaining 36% of his calories.
Given what we've seen from his diet, unless he's drinking solid amounts of Body Armor (which unfortunately is just a simple carbohydrate), it's hard to believe he's achieving this number.
Again, those numbers are all fictitious, but they're likely not too far off the mark. If anything, they're too low: a huge guy like Kevin playing a ridiculously taxing sport at a professional level needs literally tons of calories. And you simply can't get those from salads.
So what's he been doing?
Eating like an old lady
Given that his teammates publicly make fun of him for "eating like an old lady",[4] maybe it's time to understand why he's playing like one instead.
"Kev had two bran muffins and a banana with skim milk. He eats like an 80-year-old lady who's trying make sure she's regular."
-- Cavaliers Teammate, Richard Jefferson[4]
Let me tell you something. Jefferson probably doesn't have a picture-perfect diet, but two bran muffins, a banana, and skim milk are NOT the breakfast of champions. Once again: low protein, negligible saturated fat, and still not enough carbs for a pro athlete.
Kevin Love's current diet
Using MyFitnessPal, we created an example day of eating (note: link to diary removed because they lost the data) based upon his video's template, and some very liberal help from protein shakes. Of course this may be miles away from the truth, but there's a point to be proven here:
Breakfast:

Great breakfast for grandma, but this is not the breakfast of 250lb champion professional athletes. Image courtesy ESPN.[4] - 1.5 Cups Egg whites
- 1 Cup Asparagus
- 1 Tbsp Olive Oil
- 0.75 cup blueberries
- 1 cup strawberries
- 0.75 cup oatmeal
- 1 cup soy milk (seriously dude?)
We're using pretty big portions here. Nearly twice as much as what I'd use, since he needs about twice as much as I'd eat
So far, so good:
763 Calories from 85g Carbs, 22g fat, and 58g protein.
Mid-morning snack
No clue what's here, so this is a good chance to throw down some all-natural NutraBio Protein powder and almonds.
- 2 scoops whey protein isolate
- 0.5 cups almonds
634 calories from 19g carbs, 36g fat, 65g protein
Lunch
- Turkey Salad Pita
- Shrimp and black bean salad with mango vinaigrette
768 calories from 70g carbs, 39g fat, 40g protein
(The salads provided by MyFitnessPal were quite "dirty". We're doubting his are really this bad, but let's be liberal here).
Intra-Workout
- 2 Bottles Body Armor Sports Drink
280 calories from 72g carbs (all sugar)
Nutrition shake and snack post-workout
- 2 scoops whey protein isolate
- 0.5 cups almonds
634 calories from 19g carbs, 36g fat, 65g protein
Dinner
- Grilled chicken (6oz)
- Yams (6oz)
- Green Beans

Our example diet in MyFitnessPal. Could be way off, but there's a point to this... 480 calories from 48g carbs, 5g fat, 58g protein
Pre-Bed Snack
How can we forget his banana and bran muffin?!
- Banana (100g)
- Bran Muffin
- 1 Cup Soy Milk -- NOTE: In true K-Love spirit should have been Chocolate Milk! Our apologies for the miss
492 calories from 87g carbs, 12g fat, 15g protein
Final total:
4,051 calories from
- 401g carbs
- 150g fat
- 301g protein
With the help of four scoops of pure whey isolate, we nailed the carbs and protein, but the problem is the calories and fat. But is he really using four scoops of protein? How many almonds does he really eat, and are they enough?
The questions are endless, since we really don't know what he's doing, but it raises some important points:
Eating 100% clean at this caloric level is a BEAR.
There's no way around it - this is a lot of food, and it will take a lot of time to eat.
"Dirty" eaters don't have such a problem... and this is why Flexible Dieting, which relies more on macronutrients than blind "clean eating" has taken off the past few years.
It doesn't take much to undershoot your calories
Forget a single bran muffin or snack and we're at dangerously low caloric levels for the day. Do it a couple times in a week and you risk losing weight and muscle. Do it forever and you screw your metabolism up (discussed next).
Eating 300g protein is painfully difficult
Hence the four scoops of protein powder. You can substitute two of those with chicken, but how many chicken breasts does a man have to eat?
Fat intake is still a disaster, and it's a big one
Kevin Love is basically on a giant's version of a low-fat diet, and therein lies his biggest problem to solve.
The start of metabolic damage?
The body adapts. And it does this by slowing the metabolism down
So let's say Kevin's body ideally wants 4,500 calories to get through each day, yet he's giving it only 4,100. What you'll get -- at first -- is weight loss. And that's exactly what happened over the course of a year: Kevin lost about 30-40lbs, which equates to him roughly being in a 400 calorie deficit each day - just as our postulated diet shows.
But what if he continues that 4,100 calorie diet forever? Will he continue losing weight until his weight drops to zero and he vanishes into thin air? Unfortunately for all the K-Love haters out there, that's not the case.
Instead, the body adapts. And it does this by slowing the metabolism down to 4,100 calories.[5]
In the study cited above, the researchers mention that,
Results from a number of studies indicate a general endocrine response to hypocaloric diets that promotes increased hunger, reduces metabolic rate, and threatens the maintenance of lean mass.[5]
It is my opinion, as an external observer, that this is exactly what has happened, if only on a smaller scale than the subjects discussed in the study.

Kevin's weight is stable, perhaps slowly declining still, but in order to reach that equilibrium, his body needed to find a way to conserve 400 calories per day.
Its solution: worse performance.
He's simply running at a lower overall energy level. And it shows on the court.
When dieters do this at extremes over the long haul, it can lead to "metabolic damage", a serious problem. The solution is typically to slowly increase caloric intake with continued resistance training, in an effort to set a new equilibrium. Again, there's a championship to be won in Cleveland, so we're going to skip that route and suggest something a bit more drastic this week.
Surely you can add in that second bran muffin, but unless it's slathered with real butter, we still have a problem. And that problem is saturated fat:
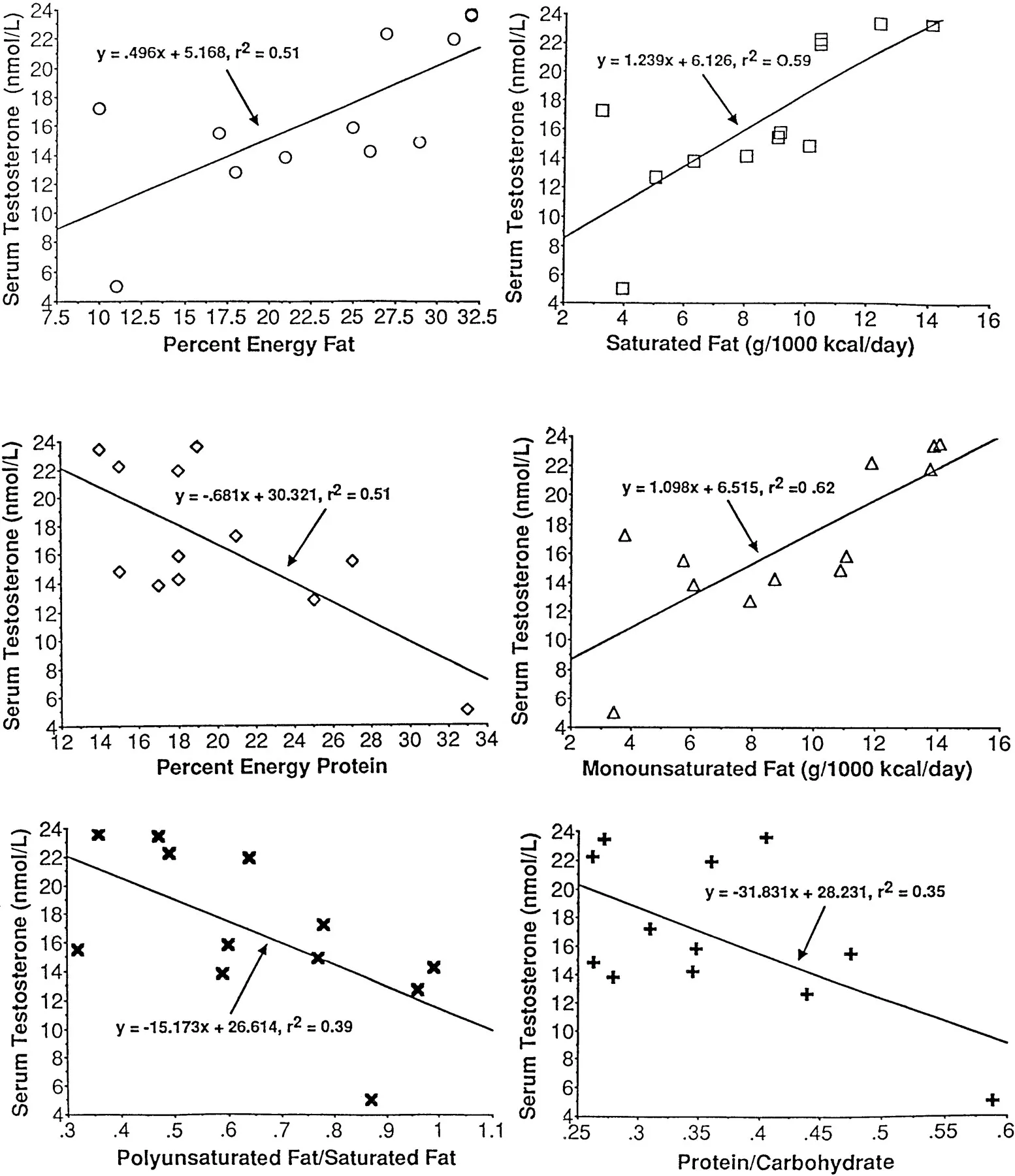
Limited saturated fat = limited testosterone
Despite its villainization in media, we all need saturated fat, and that's doubly true for athletes. Reason being, increased saturated fat intake is directly correlated to increased testosterone.[6,7] This is so prevalent that bodybuilders who are utilizing a low-fat diet while in contest prep mode are suggested to increase saturated fat levels so that their testosterone doesn't drop too much.[8]

Sadly, this is the most glaring hole in Kevin Love's diet: the lack of quality saturated fat from animal foods. Quite honestly, it seems to show in his lack of killer instinct on the basketball court. This is a man with unnecessarily low energy. He used to be slow but big, aggressive, and tenacious. Now he's just... slow.
It gets worse before it gets better, too. The above study regarding reduced metabolic rates also discusses a decline in testosterone, citing further case studies[9] with bodybuilders[10] and Olympians from 26 different sports[11] where testosterone dropped due to lower caloric intake, not just lower fat. It's possible that K-Love's diet is literally hitting him in the balls from two different angles.
If you were to access Love's drug test data over time, I'd be willing to bet that his testosterone levels have gone down - and to a higher degree than his age would dictate (test does decline as we age). I have absolutely no proof of this, but I'd make a sizeable bet that somewhere between 2013 and 2015, testosterone took a few serious steps down. This diet just isn't providing the tools those testes need.
How much saturated fat to get?
The general rule of thumb is that you should never get more than 10% of your total calories from saturated fat.[12] This table provided by health.gov scales it up with calories as well, but let's be conservative and go with the American Heart Association's recommended 7%.[13]

This means that Love should be getting in roughly 0.07*4500 = 315 calories, which is 35g saturated fat required.
What does our example diet above provide? Per MyFitnessPal... 17g. Even with a conservative estimate on how much he should be getting, this example day is still under half of what his body may require.
But doesn't he eat almonds?!
Sure, you could add more almonds. Kevin loves those, right? But in order to get 35g worth of saturated fat from almonds, you'll need to eat literally seven cups of almonds. That would be 1001g of almonds... or in other words, a kilogram of them.
TO BE AN ANIMAL, YOU MUST EAT AN ANIMAL
That's literally 2.2lbs of almonds every day to hit the saturated fat number! Since that'd blow out his entire diet, as well as his colon, it's just not happening.
Almond Alternatives
When you don't eat red meat (which is probably the dumbest thing an athlete can do, given its nutrient density), you need to get creative in covering this base, and from everything we're seeing, this diet is not getting the job done.
Here are some extra ideas for Kevin:
Cook food in beef tallow, coconut oil, and/or butter
Use MCT oil as a base for salad dressings
Sneak some butter or ghee onto that bran muffin
Or, here are two better, simpler ideas:
Eat whole eggs
Eat a big, fat ribeye steak.

Fat, gristle, and all -- make John Candy proud, boy!
This simple solution solves three problems at once:
The diet is no longer painfully dry and boring
We don't need to rely on as many protein shakes
Both the the saturated fat and the calorie problems are easily fixed
And to top it off, none of your depression-causing teammates will make fun of you when you're ravaging a steak.
Do this, Kevin, and you will perform better over time. After all, TO BE AN ANIMAL, YOU NEED TO EAT AN ANIMAL.
Eat up and Witness the Results
A rebounder who can't rebound loses confidence. An NBA player without confidence can't shoot. And that is exactly what Cleveland has bargained for with Skinny Kevin Love.
At some point, you have to take a page out of the Michael Phelps handbook and go dirty or go home. But we don't want you to go home. We want BIG Kevin Love, and we want him to bring Cleveland a ring and many more to come.
Now hurry up my man, there's still time to put on about 8lbs before game Game 7 if you increase fluids, sodium, and calories together. It won't be pretty, but if it helps you ground and pound, then we're ALL IN.
Thanks for reading.
References
- MyFitnessPal; "BMR Calculator"; http://www.myfitnesspal.com/tools/bmr-calculator
- Ruderman, NB; "Muscle Amino Acid Metabolism and Gluconeogenesis"; Annual Review of Medicine; Vol. 26: 245-258; February 1975; http://www.annualreviews.org/doi/abs/10.1146/annurev.me.26.020175.001333
- Manninen, Anssi H; “Metabolic Effects of the Very-Low-Carbohydrate Diets: Misunderstood ‘Villains’ of Human Metabolism”; Journal of the International Society of Sports Nutrition; 1.2 (2004): 7–11; https://www.ncbi.nlm.nih.gov/pmc/articles/PMC2129159/
- MacMullan, Jackie; "How Draymond Green and Kevin Love wage war -- on their weight"; ESPN TrueHoop Presents; June 12, 2016; http://espn.go.com/nba/story/_/id/16080927/how-draymond-green-kevin-love-wage-war-their-weight
- Trexler, Eric T, Abbie E Smith-Ryan, and Layne E Norton; “Metabolic Adaptation to Weight Loss: Implications for the Athlete”; Journal of the International Society of Sports Nutrition 11 (2014): 7; https://www.ncbi.nlm.nih.gov/pmc/articles/PMC3943438/
- Volek, Jeff et al; "Testosterone And Cortisol In Relationship To Dietary Nutrients And Resistance Exercise"; Journal of Applied Physiology; 82.1 (1997): 49-54; http://jap.physiology.org/content/82/1/49.long
- Sallinen, J, et al; "Relationship between diet and serum anabolic hormone responses to heavy-resistance exercise in men"; International Journal of Sports Medicine; 25(8):627-33; November 2004; https://www.ncbi.nlm.nih.gov/pubmed/15532008/
- Lambert, C; "Macronutrient considerations for the sport of bodybuilding"; Sports Medicine; 34(5):317-27; 2004; https://www.ncbi.nlm.nih.gov/pubmed/15107010/
- Rossow, L; "Natural bodybuilding competition preparation and recovery: a 12-month case study"; International Journal of Sports Physiology and Performance; 8(5):582-92; September 2013; https://www.ncbi.nlm.nih.gov/pubmed/23412685/
- Mäestu, J; "Anabolic and catabolic hormones and energy balance of the male bodybuilders during the preparation for the competition"; Journal of Strength and Conditioning Research; 24(4):1074-81; April 2010; https://www.ncbi.nlm.nih.gov/pubmed/20300017/
- Hagmar, M; "Body composition and endocrine profile of male Olympic athletes striving for leanness"; Clinical Journal of Sport Medicine; 23(3):197-201; May 2013; https://www.ncbi.nlm.nih.gov/pubmed/23275346/
- Office of Disease Prevention and Health Promotion; "Dietary Guidelines for Americans 2005: Table 8. Maximum Daily Amounts of Saturated Fat To Keep Saturated Fat Below 10 Percent of Total Calorie Intake"; United States Federal Government; July 9, 2008; http://health.gov/dietaryguidelines/dga2005/document/html/chapter6.htm#table8
- American Heart Association; "Know Your Fats"; March 28, 2016; http://www.heart.org/HEARTORG/Conditions/Cholesterol/PreventionTreatmentofHighCholesterol/Know-Your-Fats_UCM_305628_Article.jsp
- (Video removed from YouTube -- Was formerly at ID = 3n-Sf1dzQck)



